有機鋰在連續反應器中的制備和應用
有機金屬,是一種具有碳金屬鍵的物質,它們可提供類似于碳負離子的結構,可被用來形成有機化合物的碳-碳骨架,因此它們在有機合成中至關重要的。該有機金屬物種的性質由金屬的性質決定。一般來說,由于金屬和碳之間的電負性差異越大,極化度越大。因此,有機金屬反應活性物種隨著電負性差異的增加而增加。下表列出了有機合成中常用作的有機金屬試劑的碳與金屬之間電負性的差異。表中,有機鋰物質反應活性是最高的,有機鎂物質的活性僅次于有機鋰。事實上,有機鋰和有機鎂物質對各種親電試劑(包括羰基化合物如醛、酮和酯)具有高反應活性。然而,這種有機金屬物質的高反應活性常常難以控制,特別是在大規模工業生產的情況下。

2 有機鋰
在金屬有機化合物中,有機鋰的活性是最高的,因此有機鋰在有機合成中的應用十分廣泛。然而,有機鋰的高活性限制了其的應用及合成,原因如下:
a.有機鋰不穩定,它們必須在很低的溫度下合成,為防止高度不穩定的有機鋰的分解,常常需要極低的溫度(低于-78℃);
b.有機鋰參加的反應往往是非常迅速的,并且伴隨著強放熱過程,在傳統的釜式反應器中很難控制;
因此,有機鋰的工業化應用受到了很大的限制。連續流微反應器具有比傳統釜式反應器高的傳質與傳熱系數,在此,我們綜述了微反應器在解決有機鋰的產生以及與親電試劑反應方面的應用。
3 鋰-鹵交換反應(Halogen-Li exchange reaction)
盡管H-Li交換(拔氫、去質子化)以及碳鋰化反應是合成有機鋰的重要方法,但是實際操作中用的最普遍的則是X-Li交換反應。鋰鹵交換反應的選擇性受到形成的碳負離子的穩定性控制,一般說來有sp>>sp2>>sp3。從這個角度來看,叔丁基鋰的活潑型最強,因為形成的叔丁基的碳負離子最穩定。順序為ArCH2Br>ArBr>ArCH2CH2Br>Ar(CH)nCl。
3.1 芳基鋰和雜芳基鋰
2003年,文獻JP 2003-337787、JP 4639042報道了微反應器中溴苯衍生物與n-BuLi的Br-Li交換反應,該反應可以在0℃下進行,比釜式反應器中的反應溫度高很多,如圖1所示。這是因為微反應器的傳熱系數高并且停留時間短導致。得到的有機鋰與不同的親電試劑進行反應,包括TMS-Cl、苯甲醛、DMF等。微反應器同樣適用于鹵代雜環芳烴的X-Li交換反應。

文獻“Org. Proc. Res. Dev. 2004, 8, 440”1報道了一種間溴茴香醚與丁基鋰進行X-Li交換反應,得到的不穩定的中間體使用DMF淬滅得到間甲氧基苯甲醛。該反應在一個二級反應器中進行,在幾乎等溫條件下運行24h,產量達到24g/h。

文獻“Org. Proc. Res. Dev. 2007, 8, 455”2報道了類似的反應,間溴茴香醚經過鋰鹵交換得到間甲氧基苯鋰,如下圖所示,然后和二甲氨基環己酮反應得到產品阿片類中樞性鎮痛藥曲馬多。

間二溴苯與對二溴苯與n-BuLi的Br-Li交換反應在微反應器中的反應溫度可在20℃下進行,而同樣的反應在間歇反應器中需要在-48℃以下進行(Chem. Asian J. 2007, 2, 15133)。文獻“Chem. Eng. Technol. 2008, 31, 1140”4開發了一種產生和消耗對溴苯鋰的反應器,這種反應器包括混合單元、反應單元和換熱單元等。

另外,文獻“J. Am. Chem. Soc. 2007, 129, 3046”5報道,鄰二溴苯與n-BuLi的Br-Li交換在微反應器中可在-78℃下進行,但是在釜式反應器中該反應需在-110℃下進行,這是因為Br-Li交換形成的鄰鋰溴苯很容易脫去LiBr形成苯炔中間體。圖3表明了產品的收率與溫度和停留時間的關系。這種溫度-停留時間圖很直觀地揭示了活性中間體的穩定性及最優的反應條件。實際上,通過調節反應的停留時間和反應溫度,可以得到收率較高的目標產品。Br-Li交換形成的鄰鋰溴苯與一系列的親電試劑反應,如三氟甲磺酸甲酯、氯化二甲基硅烷、三氟甲磺酸三甲基硅酯、三丁基氯化錫、苯甲醛、乙醛、乙酰苯等,可以得到一系列溴苯衍生物。另外,在最優條件下,使用集成的連續流微反應器(包括四個混合器、四個微型管式反應器)順序地與兩個親電試劑反應可以得到一系列鄰、間、對位取代的苯衍生物,并且收率均較高,在53~93%。

此外,還有另外一些芳基鋰和雜芳基鋰在微反應器中的制備和應用的文獻報道,總結如下。
文獻“RSC Adv. 2011, 1, 5, 758”6在微反應器內進行了多步反應合成了TAC-101(4-[3,5-bis(trimethylsilyl)benzamido]benzoic acid)系列產品。該路線以間三溴苯為初始原料,在微反應器內進行三步Br–Li交換反應,每步交換反應后得到的苯鋰中間體與一種親電試劑反應。為了達到反應的目的,該微反應器系統包括六個混合器和六個微管反應器。通過調節每個反應器內的停留時間,每步反應的收率均達到理想效果。值得注意的是,總的停留時間12.2s,根據硅基團的性質不同,產量在132~194mg/min。

文獻“Chem. Eng. J. 2008, 135S, S17”7報道了微反應器內溴萘與正丁基鋰反應后形成的萘鋰與9,10-蒽醌反應,得到萘取代的蒽醌,微反應器的混合器為the caterpillar split–recombine micromixer,微反應器的溫度為-20℃,轉化率85%,純度97%。

文獻“Aust. J. Chem. 2013, 66, 199”8、“Green Chem. 2011, 13, 1110”9等通過溴代吡啶的Br–Li交換反應可以得到吡啶鋰中間體,這是向吡啶環上引入取代基的重要手段。相對于傳統間歇反應器來說,使用微反應器可以使這些反應在較高的溫度下進行,比如吡啶鋰的反應溫度為-28℃,溴吡啶鋰的反應溫度為0℃。對于二溴吡啶來說,使用多級微反應器系統可向吡啶環上引入兩個親電基團。此外,文獻“Synlett 2008, 1361”10報道微反應器中溴代吡啶的Br–Li交換反應及與酮的親電加成反應可在0℃下進行,并且可進行原位淬滅。

文獻“Chem. Asian J. 2013, 8, 705”11報道,若使用含氟的親電試劑(如)與芳基鋰或雜芳基鋰反應可以生成相應的氟化物。這也為制備氟化物提供一種新的思路。

氣態CO2在連續流中也可以作為一種親電試劑。例如,文獻“RSC Adv. 2014, 4, 26, 13430”12報道通過拔氫得到的雜芳基鋰中間體與CO2反應后經過質子化可以得到相應的羧酸。

另外,文獻“Angew. Chem. Int. Ed. 2014, 53, 32, 8416”13報道了在微反應器中通過芳基鋰、烷基鋰、或芳基鋰和CO2制備酮的方法,相對于傳統釜式反應器來說,在抑制對稱酮和叔醇副產品有顯著的優勢。過量的CO2對下游反應不利,可以通過加入一個真空脫氣罐來解決。芳基鋰在乙醚中的活性比在THF中的活性高,因此實驗1#至實驗5有大量的對稱酮(homocoupling reaction,一般使用金屬催化劑進行催化)生成,并且溫度越高,其活性越高,目標產品羧酸的收率越低。


3.2 官能芳基鋰
硝基化合物在有機合成中是一類重要的中間體,硝基不僅可以直接反應,而且是氨基的前體。但是,傳統釜式反應器中硝基化合物在有機合成中的應用非常有限,這可能是因為硝基與金屬有機試劑是不相容的。例如,鄰位帶有硝基的芳香鋰與芳香鎂僅在極低的溫度下才能得到,并且根據文獻“”報道,間、對為帶有硝基的芳香鋰、芳香鎂通過傳統釜式方法是得不到的。相反,文獻“”報道,連續流微反應器中,通過選擇合適的反應溫度和停留時間可以得到鄰、間、對位硝基的芳香鋰,并且硝基可不進行保護。
通常情況下,含有羰基的化合物在進行鋰化反應之前要對羰基進行保護,但是文獻“Nature Communications 2011, 2, 264”14報道,連續流微反應器使含酮羰基的化合物的鋰化反應在酮羰基未經保護的情況下成為可能。通過顯著降低反應的停留時間(0.003s或者更少),不保護酮羰基的條件下,通過芳香碘與苯基鋰的I-Li交換反應得到含有酮羰基的芳香鋰。在不影響酮羰基的條件下,得到的芳基鋰可與一系列的親電試劑進行反應。并且,通過這種方法成功低合成了天然化合物pauciflorol F,收率可達81%,5min運行時間可得產品1.06g。

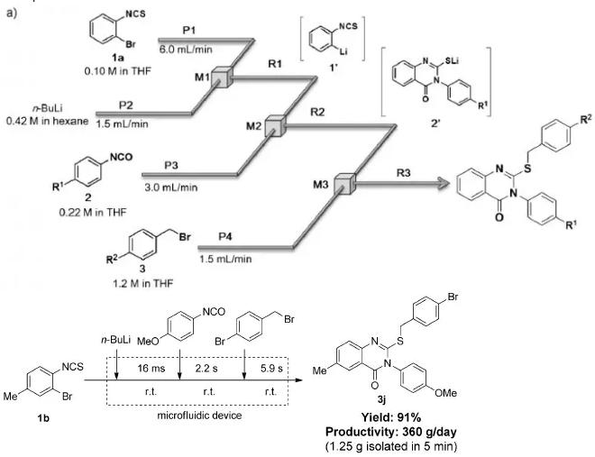
文獻“Angew. Chem. Int. Ed. 2015, 54, 1877”15報道了微反應器中鄰溴苯異硫氰酸酯與丁基鋰在室溫下反應生成鄰鋰苯異硫氰酸酯。然而,由于這種中間體的不穩定性,該反應的時間為16 ms。這種中間體與苯異氰酸酯與溴化芐反應生成一系列的Thioquinazolinones。

文獻“Chem. Eur. J. 2014, 20, 7931”16Br–Li交換反應產生的官能芳基鋰可直接與CO2反應生成官能苯甲酸,在此過程中,官能團不會收到影響。這種方法也可合成一些活性酯。

芳基硼酸及酯在過度金屬催化領域有廣泛的應用,例如Suzuki–Miyaura耦合反應。制備這些硼化合物最常用的方法是格氏試劑或有機鋰試劑與三烷基硼反應(Organometallics, 1983, 2, 1316)。盡管這種傳統的方法應用普遍,但是當底物中含有與有機金屬不相容的親電官能團時,如烷氧羰基、氰基、硝基等,這種方法就很難行得通。或者芳基硼酸酯可以通過鹵代芳香烴或者三氟甲磺酸芳香酯與四烷氧基乙硼烷的Pd催化耦合反應來制備。這種方法適用于的官能團范圍廣。芳香胺的硼化也有文獻報道(Angew. Chem. Int. Ed. 2010, 49, 1846)。17然而,由于硼化試劑(四烷氧基乙硼烷、二烷氧基硼烷等)十分昂貴,這些方法均不適合大規模生產。因此,必須考慮使用三烷基硼酸鹽來制備一些含有親電官能團的芳基硼酸酯。
文獻文獻“Org. Lett. 2016, 18, 3630”18、“Org. Lett. 2011, 13, 3312”19、“Chem. Eur. J. 2014, 20, 263”20、“Angew. Chem. Int. Ed. 2011, 50, 10665”21等報道了連續流微反應器內依次通過金屬化作用、硼化作用制備芳基硼酸或芳基硼酸酯的方法。例如,文獻“Chem. Commun. 2012, 48, 11211”22報道,微反應器中鋰鹵交換產生的芳香鋰與異丙醇頻哪醇硼酸酯反應可生成相應的芳香硼酸頻哪醇酯,收率很理想。顯著地,由于微反應器內反應時間極短,含親電官能團的芳基鋰迅速產生并且在分解之前就參與到下步反應中去。因此,含烷氧羰基、氰基、硝基的芳香鹵均適合最優條件,而在傳統間歇反應器中這些中間體非常容易分解。此外,還需注意的是,最簡單的苯基硼酸頻哪醇酯可在較高的溫度下合成,如在24℃下,收率達到92%。
微反應器中硼化反應還可以與鈀催化的Suzuki–Miyaura耦聯反應結合起來。

3.3 烯基鋰
烯基鋰在有機合成中有廣泛的應用。烯基溴和等摩爾的異丁基鋰在0或20℃下在微反應器內可有效地產生烯基鋰,而在傳統間歇反應器中則需要兩個當量的叔丁基鋰及更低的溫度。23得到的烯基鋰中間體再與一系列的親電試劑反應可以得到一系列相應的目標產品。

文獻“Angew. Chem. Int. Ed. 2012, 51, 3245”報道了精確控制停留時間的作用。通過選擇合適的停留時間,可以控制1,2-二氯乙烯鋰反應按照不同的路線進行,從而產生不同的產品。停留時間較短時,1,2-二氯乙烯鋰與一種親電試劑反應得到一取代的1,2-二氯乙烯。繼續使用s-BuLi拔氫,接著與第二種親電試劑反應可以得到1,2-二取代的1,2-二氯乙烯。停留時間較長時,1,2-二氯乙烯基鋰發生β-消除反應消除了LiCl生成氯乙炔,如果使用過量的s-BuLi,氯乙炔會進行拔氫得到2-氯乙炔鋰。2-氯乙炔鋰與一種親電試劑反應可以得到氯乙炔的一取代物。氯乙炔的一取代物再與s-BuLi進行Cl–Li反應,接著與第二種親電試劑反應可以得到二取代的乙炔。因此,烯烴和炔烴均可按照期望選擇性的得到。文獻“Chem. Lett. 2015, 44, 214”24報道了一種類似的轉化,通過控制停留時間,三氯乙烯鋰可直接與親電試劑反應生成取代的三氯乙烯,也可進行消除后再進行鋰鹵交換得到取代的氯乙炔。

α-三氟甲基乙烯基鋰是構建含CF3-基團的分子的重要基礎材料。然而,在傳統間歇反應器中由于會發生極快的消除LiF從而產生1,1-二氟丙二烯,它的制備和后續的反應均需要極地的溫度,如-100℃以下。但是如果使用微反應器,α-三氟甲基乙烯基鋰的生成和后續與親電試劑的反應在-78℃下即可進行(Chem. Commun. 2014, 50, 15079)。

不飽和化合物的碳鋰化反應,如烯烴、炔烴、烯缺等是構建C-C鍵的一種有吸引力的方法,因為這個反應生成了一種二級的有機鋰中間體,可以與后面的一系列親電試劑反應。文獻“Org. Lett. 2009, 11, 3614”26使用一種多級的微反應器系統,共軛的烯缺與芳基鋰發生碳鋰化反應,得到的丙二烯基鋰再與氯硅烷反應生成一系列硅烷基丙二烯,收率很高。

3.4 炔基鋰
末端炔烴與LDA(二異丙基氨基鋰)反應可形成炔基鋰,這是因為末端確定的C-H是酸性的。這個反應可在微反應器中進行,得到的炔基鋰連續地與CO2反應可以得到羧酸(RSC Adv 2014, 4, 13430)。

3.5 芐基鋰與烯丙基鋰
芐基鋰可通過萘鋰的還原鋰化反應來制備。但是,在傳統間歇反應器中這種方法會發生Wurtz-type自身耦聯反應生成聯芐。27不過,在微混合器中由于混合時間極短可以解決這個問題。因此,氯化芐使用萘鋰的鋰化反應接著進行與親電試劑的反應可以得到收率很高的目標產品。
文獻“Org. Biomol. Chem. 2015, 13, 7140”28報道,在停留時間很短的微反應器中,含有醛羰基的芐基鋰的生成及后續與一系列親電試劑的反應可在不影響醛基的條件下進行。一般而言,醛類的要比酮類更活潑,這使得它們在不進行保護的條件下反應比較困難。因此需要極短的停留時間(1.3ms),以及較低的反應溫度(-78℃)。

文獻“Adv. Synth. Catal. 2013, 355, 3375”29報道了一種有趣的轉化,1-溴-2-溴甲基苯與正丁基鋰的Br–Li交換反應得到鄰溴芐基鋰,鄰溴芐基鋰與未反應的原料反應可得1,2-二(2-溴苯基)乙烷。1,2-二(2-溴苯基)乙烷再與正丁基鋰進行Br–Li交換反應生成2-(2-溴苯乙基)苯基鋰。該中間體與CO2反應后再進行第三次Br-Li交換反應得到二苯并環庚酮,這是一種三環抗抑郁藥,并可作為阿米替林的前體。為除去反應中過量的CO2,可在反應器系統中加入一種脫氣裝置。二苯并環庚酮與3-(二甲氨基)丙基氯化鎂反應后經過水解可得到阿米替林。

文獻“Org. Lett. 2014, 16, 5632”30報道的方法是一種產生烯丙基鋰的有效的方法。在連續反應器中正丁基鋰與1,3-三甲基硅丙烯反應可得到烯丙基鋰,烯丙基鋰在背壓條件下可與CO反應。配上加熱裝置,可加速CO的捕捉反應。

3.6 烷基鋰
全氟烷基鋰很容易進行快速的消除反應,消除一分子LiF后形成全氟烯烴(Acc. Chem. Res. 2008, 41, 817)31。因此,連續流的微反應器是制備這些全氟烷基鋰及進行后續反應的有效手段。1,32全氟烷基鋰與親電試劑的反應通常有兩種方法。比較流行的方法是使用一種親電試劑對全服烷基鋰進行原位的捕捉。而使用連續流微反應器更有利于實現這種方法,并且反應的溫度(例如0℃)要比在傳統間歇釜中的溫度高的多(-78℃)。第二種方法是全服烷基鋰在沒有親電試劑的情況下先產生,然后再加入親電試劑。這種方法在連續流未反應中也很容易實現,因為由于微反應器中的停留時間與反應溫度均很容易控制,可以很好的控制消除反應。這種方法對高活性的親電試劑比較有效,比如三丁基氯化錫、三氟甲磺酸三甲基硅酯及異氰酸酯等,這些物質與鋰化過程都是不相容的。

烯烴的碳鋰化反應是一種制備烷基鋰的有用的方法。例如,微反應器中全氟環戊烯與雜芳基鋰的連續碳鋰化反應(鋰鹵交換反應)并分別消除LiF后得到光敏的二芳基乙烯,這個過程中不需要冷凍的條件,因為微反應器可以有效地控制溫度和停留時間。相反,如果使用傳統的間歇反應器,反應的溫度要低于-78℃。

鹵代甲基鋰常被用來作為羰基化合物同系化反應的試劑。鹵代甲基鋰通常在冷凍條件下通過鹵代甲烷的鋰鹵交換反應制備。這是因為鹵代甲基鋰在較高溫度下容易發生α-消除反應,生成碳烯(卡賓)。然而,文獻“Advanced Synthesis & Catalysis 2015, 357, 21”35報道通過在微反應器中控制反應的停留時間(0.18s),可以在較高溫度下制備高活性的氯甲基鋰并且和一系列的親電試劑進行反應。

7 環氧基鋰及氮雜環丙烷基基鋰
環氧化合物和氮雜環丙烷去質子化后得到環氧基鋰和氮雜環丙烷基鋰,之后再與親電試劑進行反應得到不同取代基的環氧化合物及氮雜環丙烷,這是制備這兩類化合物的重要的方法。37, 38
由于停留時間非常短,連續流微反應器使不穩定的環氧基鋰及氮雜環丙基鋰的制備及后續的反應成為了可能。例如,文獻“J. Am. Chem. Soc. 2009, 131, 1654”39報道,微反應器內氧化苯乙烯與異丁基鋰在-78℃下反應可以生產α-芳基環氧基鋰,而傳統間歇反應器的反應溫度要低得多,達到-100℃以下。此外,文獻“Chem. Lett. 2009, 38, 1060”40、“Chem. Lett. 2009, 38, 486”41、“Chem. Eur. J. 2010, 16, 14149”42等報道了微反應器還可以用來制備α-三苯基硅烷基環氧基鋰與氮雜環丙基鋰以及后續的反應。此外,文獻“Chem. Eur. J. 2013, 19, 1872”43還報道了官能化的氮雜環丙烷及1,2,3,4-四氫異喹啉在微反應器中的制備等。

3.8 Lithium Ynolates
傳統間歇釜式反應器制備Lithium Ynolates通常需要低溫條件,并且當間歇工藝進行放大時,反應放出的熱很難控制。

3.9 有機鋰化合物異構體的控制
在某些情況下,有機鋰化合物會異構化形成同分異構體。在這種情況下,反應的路徑可以通過微反應器內的停留時間和溫度進行控制。
下面的例子說明了通過控制微反應器內的反應時間可以對芳基鋰是否發生異構化進行控制。1-溴-2,5-二甲氧基-3-硝基苯與苯基鋰在-48℃下在微反應器內反應0.06s可得到一種沒有異構化的芳基鋰,而當停留時間延長至62s,鋰的位置會發生遷移,如下圖所示。兩種芳基鋰分別與醛反應得到最終產品,收率分別為84%和68%。

微反應器內可以精確控制反應的停留時間及溫度,因此可以控制反應按照不同的路線進行。例如,文獻“Chem. Lett. 2011, 40, 393”45苯并噻吩-3-鋰與苯并呋喃-3-鋰與親電試劑的反應可以發生在開環以前,亦可以發生在開環之后,如下圖所示,最終得到的產物也不相同。


3.10 有機鋰反應的選擇性控制
化學反應的選擇性很大程度上由反應的機理控制。然而,對于那些在傳統間歇反應器中進行極快的反應來說,向一種反應物中加入另一種反應物后缺少均相的反應環境,此時反應機理并不能控制選擇性。因此,這些反應不能使用傳統的間歇反應器進行控制。在這種情況下,混合效果決定了產品的選擇性(disguised chemical selectivity)46。為得到基于反應機理的可預測的選擇性,需要極快的混合。極快的混合可以通過微觀混合器來實現。47-51
盡管丁基鋰是等摩爾量的,傳統間歇反應器中的二鹵代聯苯的鋰鹵交換反應通常產生單鋰化和二鋰化產品的混合物,這是因為反應在反應體系在達到均相之前就已經進行。52
例如,文獻“Beilstein J. Org.Chem. 2009, 5, 16”53及文獻“Org. Lett. 2008, 10, 3937”54報道的二溴聯苯的單鋰化反應,例如2,2’-二溴聯苯、4,4’-二溴聯苯、2,7-二溴-9,9’-二辛基芴,2,2’-二溴-1,1’-聯萘、5,5’-二溴-2,2’-聯噻吩等,可以使用微觀混合器在嚴格控制二溴聯苯的與丁基鋰的當量為1:1的條件下進行。當微觀混合器的內徑降低或者物料的流速增大時,單鋰化的選擇性提高。這可能是因為內徑降低、流速加快可以使物料在短時間內混合均勻,從而降低多鋰化的可能。此外,使用集成的微反應器組可以在聯苯上連續地引入兩個不同的親電基團,從而得到不對稱取代的聯苯,這是合成光敏化合物等功能性材料的中間體的重要方法。

對于競爭性的連鎖反應來說,微觀混合也是控制選擇性的有力方法。例如,傳統釜式反應器中,有機鋰試劑與草酸二酯或者是草酰氯的反應的收率很低是因為最初生產的產品與有機鋰試劑繼續反應生成醇類或二酮類的副產品。而文獻“Chem. Commun. 2013, 49, 3242”報道58,快速的微觀混合使芳基鋰與草酸二酯的反應的選擇性大大提高。

微觀混合還有利于提高反應的化學選擇性。化學選擇性在一定的反應條件下,優先對底物分子(含有兩個或以上可以反應的官能團)中某一官能團起化學反應。一般說來,如果一種官能團的活性比另外一種的活性高,那么親電取代反應比較簡單,即優先與活性高的基團反應。但是當反應的速度過快時,這種說法就不成立。例如,文獻“Chem. Int. Ed. 2015, 54, 1914”59報道,盡管醛的活性比酮的活性高苯甲酰基苯甲醛與等摩爾的苯基鋰在間歇反應器中反應,得到三種產品的混合物。相反,而使用微觀混合的反應器則可以顯著提高化學選擇性,在較高的流速條件下可以得到收率很高的目標產品。

3.11 有機鋰化物反應的整合(integration of organolithium reactions)
結構復雜的分子通常經過多步反應合成,反應過程中的中間體在進行下步反應之前一般要經過分離或者純化,使得合成過程消耗大量的人力與時間。為滿足合成一系列具有特定官能團的化合物的需要,多步化學反應的速度和效率急需提高,這可以通過時間和空間兩個維度進行整合,比如可以一鍋法60或連續流61。
文獻“J. Am. Chem. Soc. 2014, 136, 35, 12245”62報道了一種在連續流反應器中苯炔與功能性芳基鋰的碳鋰化反應,緊接著得到的聯苯鋰與親電試劑反應得到目標產品的例子。2-溴苯基鋰和一種功能性的芳基鋰可以通過1-溴-2-碘苯與一種相應鹵代苯分別在連續反應器中下反應得到,并且兩種物質在-70℃混合。在順序反應器(可進行多步反應)中,2-溴苯基鋰在-30℃下脫去溴化氫生成苯炔中間體,這個過程不會影響官能性芳基鋰。緊接著,苯炔與芳基鋰發生碳鋰化反應得到聯芳基鋰。聯芳基鋰再與親電試劑反應得到三種物質耦合的新的化合物。這種方法可以用來合成農藥啶酰菌胺的另外一種中間體4-氯聯苯-2-胺(文獻報道該中間體以對氯苯硼酸和鄰氯硝基苯為原料,在N,N-二甲基乙酰胺和水的溶液中以鈀炭為催化劑、碳酸鉀為助催化劑經Suzuki反應得4′-氯-2-硝基聯苯;在乙醇溶液中然后以鋅粉或鐵粉為還原劑回流下還原得到,收率60-70%,或者以對氯苯肼和苯胺為原料縮合得到)。

鋰鹵交換反應得到的芳基鋰參與金屬催化的耦聯反應(例如金屬Pd催化的Murahashi耦聯反應,JOC,1979,44,2408)拓展了連續流微反應器在有機金屬合成中的應用空間。不過,當金屬Pd催化的Murahashi耦聯反應,即鹵代芳烴與芳基鋰的耦合反應速度較慢時,Br–Li交換反應中產生的BuBr會帶來一系列的副反應。不過,根據文獻“Angew. Chem. Int. Ed. 2010, 49, 7543”63報道,可以通過使用特殊配體的催化劑(PEPPSI-SIPr,[1,3-bis(2,6-diisopropylphenyl)imidazolidene] (3-chloropyridyl)palladium(II) dichloride)來加快耦聯的速度。因此,鋰鹵交換反應后接著進行Murahashi耦聯反應為不同的芳基或雜芳基溴的耦聯得到聯苯或聯雜苯提供一種直接的手段。此外,這種方法還可以用來耦聯鹵代乙烯基。63芳基鋰在FeCl3催化下可以實現oxidative homocoupling。64有機鋰試劑還可以用于金屬催化的1,4-加成反應。

(文章來源:微反應器論壇-微信號 轉載僅供參考學習及傳遞有用信息,版權歸原作者所有,如侵犯權益,請聯系刪除)
- 上一條微流控和藥物發現途徑
- 下一條微化工設備:連續式反應器
