清華大學化學工程系:微反應器內的有機合成前沿進展下
3 重氮化反應與重氮偶合反應
偶氮化合物已被用于許多領域,如材料、繪畫、生物制藥研究、化妝品和油墨工業等。目前合成偶氮化合物的主要工藝是重氮化-重氮偶合串聯反應。重氮化反應是指芳香族伯胺與亞硝酸作用生成重氮鹽。重氮化反應應用廣泛的原因是重氮化反應合成的重氮鹽中間體反應活性較高,可以在不同的反應條件下繼續合成其他化合物。例如,重氮鹽中間體可以進行水解生成酚類化合物,可以被親核試劑攻擊合成偶氮化合物,也可以與鹵素原子發生取代生成芳香族氯化物、芳香族氟化物、芳香族碘化物等。而重氮鹽生成偶氮化合物的重氮偶合反應,則是指重氮鹽進一步與芳胺、酚類發生氮氮間的偶聯產生氮氮雙鍵。目前,重氮化/重氮偶合反應的反應器還是以反應釜為主。重氮鹽中間體因其活潑性而用途廣泛,但同樣由于其活潑性,重氮鹽具有熱不穩定和沖擊敏感的特點,當溫度升高時可能會導致重氮化/偶合反應失控出現爆炸等危險情況。因此,出于安全考慮,無論是生成重氮鹽的重氮化反應還是以重氮鹽為反應物的重氮偶合反應,反應過程的穩定可控都相當重要。
強換熱能力和高穩定性的微反應平臺為解決上述安全問題和開發重氮化/重氮偶合反應新工藝提供了契機。在重氮化/重氮偶合反應中引入微反應器作為反應設備,既可以降低由于傳熱性能不足導致的潛在風險,又能通過強化混合效果帶來更好的產品性能。目前,已經有研究者針對微反應器內的多類重氮化/重氮偶合反應進行了研究。
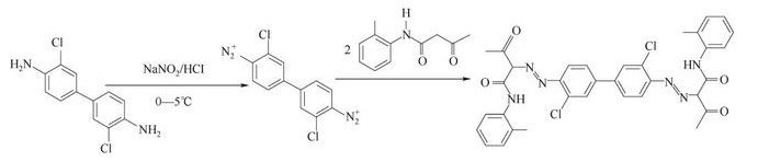
顏料紅146是一種典型的水性偶氮顏料,被廣泛用于印刷色漿、水性涂料和油墨顏料。Wang等以3-氨基-苯胺(KD)和 N-(4-氯-2,5-二甲氧基苯基)-3-羥基-2-萘酰胺(AS-LC)為原料通過重氮偶合反應高效合成了該種偶氮顏料,反應方程式與設備的示意圖見圖5。結合實驗結果與CFD模擬,研究者認為微反應器中的兩相混合效果遠遠強于釜式反應器是提升產品均勻性和轉化率高的主要原因。通過調控溫度和反應液濃度,在反應溫度為25℃,停留時間為40 s時,KD可達到99.50%以上的轉化率,且產品純度超過98%。在各類偶氮顏料中,黃色偶氮顏料常常用在印刷過程的最后一個步驟,需要高透明度和純度。Wang等借助微反應器對常用顏料黃14生產過程中的重氮化/重氮偶合過程進行了系統研究和條件優化,制備得到的產品純度可以達到90%且顆粒分布均勻,反應的過程如圖6所示。除了用于合成偶氮染顏料,微反應器對于其他各類的重氮化/偶合反應過程也有顯著的優化效果。Jiang等使用串聯的微反應器平臺實現了4-硝基苯胺(PNA)重氮化—結晶—偶合三步連續過程生成4-硝基聯苯(4-NBP),在最優條件下總產品收率可達80%,反應流程如圖7所示。上述研究表明,對于均相或非均相的各類重氮化/重氮偶合反應過程,微反應器技術都能大大提升反應過程的安全性和穩定性,在提高偶氮產品關鍵性能的同時縮短反應所需時間,相比于傳統的釜式工藝有明顯的優勢。
圖5 (a)合成顏料紅146的偶合反應; (b) 合成顏料紅146的微反應系統示意圖
圖6 顏料黃14合成的重氮化和偶合反應
圖7 4-硝基苯胺重氮化/重氮偶合流程圖
在重氮化反應的反應動力學方面,Wang等利用微反應器為平臺,研究了重要偶氮顏料前體紅色基KD的重氮化反應動力學,并給出了流-固耦合的傳質-反應模型,實驗所采用的設備如圖8所示。利用微反應器內停留時間和反應溫度準確可調的特性,可通過標定不同溫度和停留時間下產生的偶氮顏料的量來計算重氮鹽中間體的含量。研究者指出由于微通道內混合過程迅速,反應過程受混合的影響較小,因此可利用微反應器搭建可靠的本征動力學數據測量平臺。該研究結果證明微反應器優異的傳遞特性不但在工藝條件優化方面具有一定的優勢,同時在基礎動力學數據的準確獲取方面也有重要的作用。
圖8 紅色基KD合成裝置示意圖
4 烷基化反應
烷基化反應是在酸性催化劑存在下用烷基化劑合成烷基芳香烴的反應,由于其反應過程簡單,原料易得,成為了最常見的合成烷基芳香烴的方法。烷基化試劑種類繁多,如烯烴、醇和鹵代烷,但由于選擇性和反應效率的要求, α-烯烴的使用最為廣泛。硫酸是經典的工業化酸性催化劑,已經有研究者針對硫酸催化體系在微反應器中的動力學規律開展研究。而在近年來,由于催化效率高和反應時間短的優勢,酸性離子液體作為烷基化反應的催化劑受到關注。相比于傳統的硫酸催化劑,離子液體在催化效率方面具有優勢,但在實際工藝過程中還存在如下的問題。第一,相比于經典的酸催化劑,離子液體催化的反應體系基礎動力學數據不足。反應工藝流程和反應器的設計都需要大量的動力學數據作為支撐,因此需要構建準確快速獲得動力學數據的測量平臺。第二,離子液體催化的反應體系本征動力學快,傳熱和混合效率是控制反應速率的重要因素。由于反應速度過快,過程中釋放的反應熱一旦積累可能導致危險。目前,釜式反應器的傳熱性能較難滿足以離子液體作為催化劑的反應過程,不能充分發揮離子液體的優異催化性能。
微反應器技術可有效解決上述工藝問題。首先,微反應器中的流體高度有序,重復性好,單次反應周期短,是測量動力學數據的良好平臺。其次,微反應器優異的傳熱和混合性能能夠最大限度地避免由于過熱和混合不均勻帶來的烷基化產品均勻度下降或副反應等問題,能充分發揮離子液體優異的催化性能。因此,本課題組針對工業級 α-烯烴的萘烷基化開展了相關工作。Yang等以工業級混合 α-烯烴為原料,離子液體(AlCl 3)為催化劑,進行微反應器內萘烷基化過程的研究,此工作的微反應系統如圖9所示。通過調控反應物的相比和溫度,停留時間為40 s時即可達到超過99%的原料轉化率。研究結果表明,選取內徑更小的微混合器,能夠在同樣的反應條件下達到更強的混合效果,提高反應速率和原料轉化率。
圖9 連續流系統的示意圖
目前,也有研究者利用微反應器研究新型烷基化體系。Wang等以具有交錯十字通道的微反應器為平臺,探索了酸性咪唑離子液體與H 2SO 4組成的二元酸性催化劑對于異丁烷/1-丁烯反應體系的催化效果。實驗結果和模擬結果均證明微反應器中的強化混合效果提升了主反應的選擇性。在最優實驗條件下,在微反應器中的停留時間為81 s時,即可達到94.2%以上的1-丁烯轉化率,產品辛烷值為99.5。對于同一反應過程,釜式反應需耗時10~15 min,得到產品的辛烷值為92~94。
上述研究表明,針對各類烷基化反應過程,微反應器都能強化混合過程,縮短反應時間,提升產品質量。同時,相比于釜式反應器,微反應器也可以更加快速準確地獲得新型復雜多元催化劑的催化動力學數據,用于指導反應過程設計。
5 氮氧化反應
氮氧化反應是通過強氧化劑氧化含氮雜環的有機合成反應,此類反應常常由于含氮雜環性質不穩定而有一定的危險性。3-甲基吡啶- N-氧化物是制備2-氯-5-甲基吡啶的重要中間體,可用于合成吡蟲啉、啶蟲脒等煙堿類殺蟲劑,具有重要的商業價值。3-甲基吡啶- N-氧化物的傳統生產方法是在半間歇式反應器中由3-甲基吡啶催化氧化制備。但由于3-甲基吡啶強烈的爆炸性,采用間歇技術反應效率和安全性較低。相比于釜式反應器,微反應器技術由于優異的換熱能力,可從根源上防止由于濃度和溫度分布不均勻而產生的潛在爆炸危險。
基于上述原因,本課題組針對3-甲基吡啶- N-氧化物的合成開展了相關工作。Sang等研究了微反應器內3-甲基吡啶和H 2O 2為原料,MoO 3為催化劑制備3-甲基吡啶- N-氧化物的反應過程,示意圖如圖10所示。研究者設計了一種半連續循環微反應的新工藝,可以將原料的轉化率提升至90%以上,反應時間大大縮短。此外,氮氧化反應已經有商業化的微通道技術。Hamano等使用了一種商業化的玻璃微通道利用氧氣或空氣氧化2-、3-和4-甲基吡啶合成對應的羧酸。在常溫常壓連續流動條件下,2-、3-和4-甲基吡啶在氧氣或空氣中直接氧化成相應的羧酸而不需要任何的金屬基催化劑,停留時間只需5 min,所有反應物的轉化率都能達到95%以上。該過程所采用的商業化設備示意圖如圖11所示。
圖10 循環微反應器示意圖
圖11 商業化微反應器示意圖
上述研究表明,微反應器對于氮氧化反應有較好的適用性,能夠在提升反應安全性的同時加快轉化速率,提升產品收率,有良好的商業應用前景。盡管微通道中的傳質傳熱效果好,但部分氮氧化反應的本征動力學過慢,因此必須采用合適的催化劑,加快本征反應速度,才能體現出微通道傳遞特性的優勢。
6 結論與展望
本文綜述了微反應器技術對霍夫曼重排、環加成、重氮化和偶合、烷基化、氮氧化等典型“強放熱快反應”有機合成反應的應用和研究進展。應用微反應器技術對各類反應進行條件優化和機理探索,不僅能夠使得這些典型的危險反應工藝向著綠色、安全、高效和可持續化方向發展,而且能幫助研究者深入了解此類反應的機理,并進一步解決此類反應生產過程中的瓶頸問題。基于目前的研究進展,未來微反應器技術的發展應該在以下幾個方面加強研究。
(1)反應機理的研究。現有微反應研究主要著眼于反應條件的優化和表觀動力學的探究,缺乏對于反應機理和本征動力學的揭示。通過對反應機理和本征動力學的深入研究,可以揭示反應選擇性的影響規律以及反應過程強化的優化方向。
(2)過程在線分析技術的應用。隨著各類檢測手段的發展,微反應器內實時、可視化檢測手段的應用將促進該技術進一步發展。微反應器可結合在線紅外、紫外、拉曼光譜、氣質聯用等在線檢測技術,及時、準確地獲取反應信息,顯著提高工藝開發的整體效率,還能監控反應進程,實現過程的實時監控。同時,可以利用收集到的數據進行連續反饋與自調控,實現反應過程“自我優化”的效果。
(3)新工藝技術工業化的應用基礎研究,尤其是微反應裝置放大規律的探索。目前,大多數微反應器的工藝研究未能真正投入工業生產,停留在實驗室階段。微反應器經過并聯放大和相似放大后,是否能夠保留良好的傳遞和反應性能,還有待進一步研究,其放大后的流動傳質與反應規律也需進一步深入探索。
免責聲明:文章來源汶網絡以傳播知識、有益學習和研究為宗旨。 轉載僅供參考學習及傳遞有用信息,版權歸原作者所有,如侵犯權益,請聯系刪除。
標簽:   微反應器
