基于微流控芯片的乳腺癌細胞微環境酸化檢測
細胞微環境酸化是惡性腫瘤的特征之一,與正常細胞的氧化磷酸化代謝途徑不同,腫瘤細胞的代謝方式主要為糖酵解,其代謝終產物以乳酸為主。乳酸的大量產生及排泄障礙使腫瘤細胞處于較低的pH微環境中。腫瘤微環境的酸化不僅影響癌細胞的代謝和遷移,而且影響化療藥物對腫瘤細胞的殺傷作用。因此,建立腫瘤微環境酸化實時監測模型對腫瘤的代謝和治療具有重要意義。
腫瘤細胞的生長環境空間狹小、液體量少,其pH值難以用傳統的電化學pH計測出。目前,微量pH檢測方法主要包括pH敏感微電極法、pH敏感熒光染料法和核磁共振法等方法,這些方法需要特殊的設備,且操作復雜、成本昂貴,很難在一般實驗室中開展。現有的腫瘤微環境酸化檢測方法缺少仿真3D結構,不能模擬細胞的擴散屏障所導致的酸性代謝產物蓄積,且難以實時檢測,結果偏差較大。
微流控芯片技術因具有結構設計靈活和規模集成的特點逐漸成為細胞研究的重要手段。本研究以微流控芯片為平臺、海藻酸鈉水凝膠為載體,乳腺癌MCF?7細胞為研究對象,成功構建了細胞生長的微環境。同時利用芯片通道的連續灌流模擬體內的微血管系統,以及時提供營養、排除廢物。同時將造價低廉的非電化學pH指示器引入微流控芯片中,通過固定光源拍照,將顏色信號轉化為pH值,實現對微環境pH值的實時監測。
1實驗部分
1.1儀器、試劑與材料
激光共聚焦顯微鏡、AU2700全自動生化分析儀;聚二甲基硅氧烷(PDMS)前體及引發劑;硝酸纖維素薄膜;FE20酸度計;TS?2A微量注射泵。
吖啶橙(acridineorange,AO)、溴化乙錠(ethidiumbromide,EB);乳腺癌MCF?7細胞、乳房BHL?100細胞;海藻酸鈉、明膠、胰蛋白酶、氯化鈣(CaCl2)、磷酸二氫鈉(NaH2PO4)、磷酸氫二鈉(Na2HP百里酚藍、酚酞、溴百里酚藍、甲基紅、氫氧化鈉(NaOH)、磷酸鹽緩沖液(PBS)、臺盼藍染液;DMEM培養基、McCoy?A培養基;所有溶液用二次滅菌的蒸餾水配制。
1.2芯片制作
芯片采用標準軟蝕刻加工技術,即在玻璃板上旋涂SU8光膠,然后遮蔽含有微通道圖形的掩膜,曝光及顯影處理后得到SU8模具。在含有SU8結構的基板上澆注PDMS,獲得微結構。芯片包含3層結構(見圖1a),頂層灌流通道的長、寬、高分別為4cm、140μm、180μm,中央厚度為220μm,底部有一個6mm×6mm的方形凹槽,通道末端為直徑2.5mm的圓形通孔,作為pH檢測口;中間層有一個5mm×5mm的方形通孔,作為細胞培養池;底層是玻璃平板。中間層與底層結合將直徑5mm的紙片分裝于中間層底面的凹槽內。中間層和底層等離子處理后封接,中間層NC膜分別用0.1%(質量分數)明膠和2%(質量分數)海藻酸鈉溶液處理并烘干,與頂層封接后得到芯片。
1.3芯片實驗操作
先將微量注射器、毛細管和制備好的芯片于90℃烘烤1h后,置于紫外燈下照射過夜。乳腺癌MCF?7細胞在培養瓶中培養,待細胞進入指數成長期后制成密度為1×107cell/mL的細胞懸液。將200μL細胞懸液緩慢注入芯片中,排除多余液體后放入細胞培養箱培養2h,向芯片通道緩慢引入40mmol/LCaCl2,引發海藻酸鈉聚合,以30μL/h的速度進行連續灌注培養(見圖2)。
圖2芯片灌流示意圖
1.4細胞培養分析
細胞連續灌流培養5d后,將熒光染液AO?EB(1∶1,v/v)注入芯片通道染色10min后,將芯片置于激光共聚焦顯微鏡下檢測,觀察芯片培養池內部細胞的結構形態。同時為考察芯片灌流與普通靜態培養的差異,將相同數量的細胞放入培養皿中靜態培養,定期更換培養液,于5d后將其熒光染色,同芯片培養情況進行對比。
將細胞分別培養1~7d后,拆開芯片,從細胞培養池中取出水凝膠微球于干凈的離心管中,加入圖3細胞熒光染色圖(放大倍數10×10)生理鹽水使水凝膠微球溶解,再加入適量胰酶消化細胞團塊,以2000r/min離心1min后,沉淀重懸于200μLPBS溶液,混勻,滴加臺盼藍染液染色,加入細胞計數板計數總細胞數及存活細胞數。細胞存活率為存活細胞數與總細胞數的百分比。細胞增殖率(p)是培養不同天數的細胞數(nd)相對于前一天的細胞數(nd-1)增加的比率,即p=(nd-nd-1)/nd-1×100%。
1.5pH檢測器構建
稱取0.5mg百里酚藍、10mg酚酞、6mg溴百里酚藍、1.2mg甲基紅,加入10mL95%(v/v)乙醇水溶液,用0.01mol/LNaOH滴定,直至溶液變為綠色,將此溶液作為指示劑。將指示劑定量滴入芯片通道出口的pH檢測器后,隨pH值的不同而呈現不同顏色。將芯片插入帶有固定光源的拍照裝置(見圖1b)進行拍照后,通過PhotoshopCS2軟件分析照片的紅綠藍色彩(RGB)模式值,作標準曲線,將光學數值轉變為pH值,從而實現pH值的測定。
1.6微環境酸化檢測
以30μL/h的灌流速度持續培養細胞,分別收集1、2、3、4、5、6、7d時的灌流液,比較其乳酸水平和pH值的對應關系,同時在相同的培養條件下比較乳腺癌MCF?7細胞和正常乳房BHL?100細胞在7d內的微環境pH值的變化情況。同時通過降低灌流速度,考察其對微環境酸化情況的影響。
2結果與討論
2.13D腫瘤細胞微環境的模擬
2.1.1腫瘤間質的模擬
明膠處理過的NC膜具有親水作用,在疏水性PDMS材料上形成親水區,一定濃度的細胞懸液通過通道灌流進入NC膜區域后,在重力和表面張力的作用下迅速鋪滿整個細胞培養池。細胞懸液進入培養池后,與NC膜上的海藻酸鈉逐漸混合,當接觸到Ca2+時海藻酸鈉固化為水凝膠微球,為3D細胞培養提供支撐。水凝膠微球中的明膠和海藻酸鈉含有選擇素和整合素成分,具有促進細胞黏附的作用。水凝膠微球為細胞生長提供了適宜的間質硬度及支撐、連接和營養作用,同時可避免流體剪切力對細胞的傷害,很好地模擬了體內腫瘤間質。
2.1.2腫瘤實質的模擬
體內細胞均為3D立體式生長而非平面生長。將芯片進行灌流培養和靜態培養,均培養1d和5d,分別向各自細胞培養池中引入AO?EB(1∶1,v/v)染液染色,用激光共聚焦顯微鏡觀察,比較兩種培養條件下細胞培養池中細胞與間質、細胞與細胞形態學結構的變化和不同(見圖3)。結果表明,在灌流條件下,培養1d時,乳腺癌細胞由于生長時間尚短并未聚集形成微球(圖3a);而培養5d時,細胞聚集生長,形成大小不等的微球(圖3b),提示細胞呈3D立體式生長,與體內細胞生長方式接近。而在靜態條件下,培養1d時(圖3c)與灌流培養相比,二者無明顯差別;但隨著培養時間的增加,灌流培養與靜態培養下的細胞雖然在成球速度上差別不大,但細胞存活率明顯提高(圖3d),說明灌流培養比靜態培養更接近體內細胞的生長狀況。
圖3細胞熒光染色圖(放大倍數10×10)
2.2細胞生長分析
在灌流速度為30μL/h時,分別連續培養1、3、5、7d,計算細胞的存活率;在此條件下,連續灌流培養7d,計算細胞的增殖率(見圖4)。結果表明,隨著培養時間的增加,細胞存活率逐漸下降,但一直保持在90%以上;細胞在第1d時的增殖率最高,達到45%,隨著培養天數的增加,細胞增殖率逐漸下降,但仍保持在20%以上。細胞的密度隨著培養天數的增加而持續增加,說明細胞在水凝膠微球中不斷增殖,與2D細胞培養相比,由于營養成分和生長空間的限制,倍增時間顯著緩慢。
圖4灌流培養下細胞的(a)存活率和(b)增殖率(n=3)
2.3微環境的酸化檢測
將濃度為0.2mol/LNaH2PO4和Na2HPO4按適當比例混合,配制pH值為6.5~7.4的系列標準溶液。pH檢測器中加入定量的指示劑和標準溶液后,因pH值的不同而顯示出不同顏色,通過軟件分析不同pH值對應的RGB模式中的紅(R)、綠(G)、藍(B)值。研究表明,R值與pH值的關系最為密切,將R值取對數后與pH值繪制標準曲線(見圖5),可獲得不同顏色對應的pH值。
圖5lgR與pH值的關系(n=3)
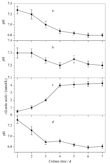
在灌流速度為30μL/h時,連續培養乳腺癌MCF?7細胞7d,每天測定癌細胞的pH值和乳酸水平(見圖6)。結果表明,隨著培養天數的增加,乳腺癌MCF?7細胞微環境的pH值逐漸下降;在6d時,逐漸形成一個相對穩定的酸化微環境,腫瘤細胞在此酸化微環境下仍能正常增殖。在相同的條件下培養乳房BHL?100細胞,其微環境的pH值始終保持在中性范圍內(圖6b),與腫瘤細胞形成鮮明對比。同時對比MCF?7細胞的pH值和乳酸水平,發現二者之間存在顯著關聯(圖6c),說明乳酸是引起pH值變化的重要原因
圖6乳腺癌和乳房細胞的微環境酸化情況(n=3)
本實驗考察了灌流速度對乳腺癌細胞微環境酸化情況的影響(見圖6d)。在不影響MCF?7細胞存活率的基礎上,將灌流速度降至6μL/h,監測其在7d內微環境的pH值,由于營養物的供給和代謝物的排泄存在一定障礙,MCF?7細胞在3d時就形成了相對穩定的酸化微環境。
3結論
利用微流控芯片的特性可以實現對細胞微環境的有效模擬和對微環境酸化進行實時監測。本實驗借助海藻酸鈉與Ca2+固化為水凝膠的特性,為細胞生長提供支架,構建3D細胞培養環境,同時將價格低廉的非電化學pH檢測器集成到芯片上,實現對微環境pH值的實時監測。本實驗建立的腫瘤細胞微環境酸化檢測平臺為動態監測腫瘤細胞周圍酸堿度的變化、分析癌細胞耐藥和轉移提供了科學依據。
文獻來源色譜DOI:10.3724/SP.J.1123.2016.07011作者:嚴偉,徐德順等(轉載僅供參考學習及傳遞有用信息,版權歸原作者所有,如侵犯權益,請聯系刪除)
