微流控芯片單細胞克隆形成抑制實驗用于乳腺癌干細胞特異性藥物篩選
大量研究結果提示,腫瘤干細胞(cancer stem cells,CSCs)是腫瘤發生、發展、轉移的決定因素,也是導致治療失敗的主要原因。傳統腫瘤治療手段如放療和化療,并不能徹底清除腫瘤干細胞而且會對正常組織造成損害。鑒于上述事實,針對腫瘤干細胞的靶向清除方法已成為近期腫瘤治療的一種新策略。腫瘤干細胞特異性藥物篩選對于腫瘤干細胞靶向治療具有重要價值。然而,腫瘤干細胞含量稀少且分離后干性難以維持,這對于基于腫瘤干細胞的藥物篩選帶來了極大的挑戰。針對該問題,華南理工大學附屬廣州市第一人民醫院檢驗醫學研究室暨廣東省微流控芯片醫學診斷工程技術研究中心報導了一種基于微流控芯片的單細胞克隆形成抑制實驗。相關研究論文被《Small》雜志接收,將發表于該雜志2019年度的微流控特刊。課題組博士研究生林冬果和碩士研究生李佩文為論文并列第一作者,劉大漁研究員為該論文通訊作者。
研究利用腫瘤干細胞單細胞克隆形成特性,發展基于微流控芯片的單細胞克隆形成抑制實驗用于乳腺癌干細胞靶向藥物篩選。實驗原理是在添加生長因子條件下腫瘤干細胞可以單細胞存活并形成克隆,而其它腫瘤細胞則會失巢凋亡,依此實現腫瘤干細胞分選。這種單細胞克隆形成可以被腫瘤干細胞特異性藥物所抑制,因此這種單細胞克隆形成抑制實驗可以作為篩選腫瘤干細胞特異性藥物的工具。
研究設計并加工了一種具有3840單細胞捕獲微池陣列的微流控芯片。微流控芯片上的單細胞捕獲采用尺寸限制策略:芯片的旁路通道寬度30微米,高度10微米,因而只允許液體流過而細胞在此被截獲。截獲了細胞的旁路通道由于阻力增加,后續細胞不再流入。因此在細胞懸液連續灌注過程中單個細胞被依次捕獲于旁路通道形成高密度單細胞陣列。
實驗選用MCF-7、MDA-MB-231及T47D三種乳腺癌細胞系,在微流控芯片上完成了單細胞陣列構建、連續(14天)細胞培養、原位熒光呈像分析以及細胞藥物作用實驗。實驗分別使用紫杉醇、阿霉素、硫鏈絲菌素和鹽霉素作用于芯片單細胞陣列,根據單細胞克隆形成實驗結果評價藥物對腫瘤干細胞的選擇性殺傷作用。
在優化的條件下,芯片單細胞捕獲效率達54.2%,相應的單次測試單個腫瘤細胞數量超過2000。捕獲前后細胞直徑分布檢測結果提示,芯片單細胞捕獲沒有尺寸選擇性。單細胞陣列中只有少量細胞可以在長期培養中存活并形成克隆,各種乳腺癌細胞的克隆形成率分別為:MDA-MB-231,5.78%;MCF-7,1.67%;T47D,5.24%。
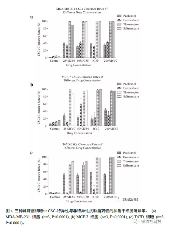
藥物測試結果顯示,在對應IC50的藥物濃度作用下, 硫鏈絲菌素對于MDA-MB-231, MCF-7, T47D三種細胞中的腫瘤干細胞清除率分別為100%, 97.60%, 和 99.62%, 而鹽霉素的腫瘤干細胞清除率分別為100%, 100% 和 97.07%。圖4可見,腫瘤干細胞特異性藥物硫鏈絲菌素和鹽霉素的單細胞克隆形成抑制率顯著高于傳統抗腫瘤藥物。此外,腫瘤干細胞特異性藥物可以在非常低的濃度下發揮抗腫瘤作用,對于正常組織幾乎沒有傷害。有趣的是,腫瘤干細胞特異性藥物對于不同類型細胞顯示出了明顯的差別,這提示不同個體腫瘤中的干細胞信號通路不盡相同,相對應的特異性藥物也會有所差別。
綜上所述,本研究發展了一種基于微流控芯片單細胞克隆形成實驗的乳腺癌干細胞靶向藥物篩選方法。這種芯片方法能夠高效構建單細胞陣列并以集成化的方式完成整個分析過程。研究確認了微流控芯片單細胞克隆形成實驗的乳腺癌干細胞靶向藥物篩選能力。實驗結果顯示,腫瘤干細胞靶向藥物可以完全地抑制單細胞克隆形成,而非靶向藥物的抑制效應則是部分的。這種微流控芯片單細胞分析技術具有操作簡便、分析高效的優勢,因而是腫瘤干細胞靶向藥物篩選的有利工具。
原文出處:
Lin D(林冬果)#, Li P(李佩文)#, Feng J(豐謹), Lin Z(林諄),Chen X(陳曉),Yang N(楊娜), Wang L(王麗輝), Liu D(劉大漁)*.
Screening Therapeutic Agents Specific to Breast Cancer Stem Cells Using aMicrofluidic Single-Cell Clone Forming Inhibition Assay, Small,2019,DOI:10.1002/smll.201901001.
